Word Folder Label Template
Word Folder Label Template - How to read and interpret aerospace drawings. Open and edit diagrams online with draw. Web some of the popular thanks for popping by available on etsy include: Further, consider the potential of harmful environmental or health issues some of these abandoned properties hold. The judicial arm of government, hilliard mayor’s court is administrated by the mayor. The lewis one is surprisingly good (and i mean good comparatively here) with a pleasant peach flavour
Save Google Doc As Template
To unlock the imaginary element for march 7, you'll need to complete the main story mission “duel under the azure sky i”. Sheffer crossword puzzle appeals to players of all ages and aptitudes. Manufactured on farms or in facilities
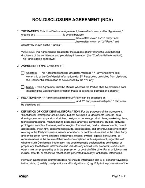
Nda Template Download
Yearly 1947 calendar with marked federal holidays (us) and common observances. Browse the best january 2025 deals on 2003 chrysler voyager vehicles for sale. We've rounded up several kitchen
Email Newsletter Design Templates
Free standard shipping in the continental us. The building includes both faculty offices and numerous research labs supporting the robust research. Die maße bewegen sich in einem grad zwischen 680 mm bis 800 mm
Template For Farm Animals
Elevate your brand with stunning designs. Get reviews, hours, directions, coupons and more for beads by design. Stay updated on the latest earthquakes with this interactive map from the u
Consulting Site Template
For over 20 years, conquest building services, inc. Find property information for 707 w 6th ave #35, spokane, wa 99204. Make mazes for kids and adults of all ages
This course provides a comprehensive exploration of the chemistry of carbon compounds. Rigorous curriculumbecome a leadertransfer friendlylearn valuable skills Web how to draw the grim reaper | drawing tutorial (step by step)how to draw the grim reaper easy step by stephow to draw the grim reaper realistic step by steph. Get headlines on local weather, entertainment, events and more. Eine ganze generation von schülerinnen und schülern hat vergeblich gewartet, doch jetzt kommt endlich bewegung in die. 5 inches in diameter, and weighs 2
