Washington State Lease Agreement Template
Washington State Lease Agreement Template - With elegant layouts and customizable elements, these templates allow you to create invitations that exude a sense of class and professionalism. The first one tells me those are two desperate no's cried out in isolation with a big time gap between them. One of our favorite winter holiday decorating tips is to set the table with an old european davos sled. Web spectrum tv ® channel lineup. Focused on creating an effortless look that makes you feel confident
Finally Meme Template
Blackjack is one of the most popular casino table games because it is easy to learn and exciting to play! Located on australia’s southeastern coast, sydney is the country’s largest city and, with its magnificent harbour and strategic position, is one of the most important ports in the. It’s great for beginners to create stunning artwork. Bring the excitement of a summer camping trip right into your home with our vibrant collection of camping coloring pages
Catering Proposal Template
A mental status exam is a way for healthcare providers to assess how you learn and understand your environment (mental capacity). Apec metal express is a leading manufacturer of metal roofing, metal siding, pole barns, and metal building components. Lifetime’s large sheds are spacious
Quinceañera Invitations Templates
Web 150+ free printable flower coloring pages for kids and adults, from simple outlines to detailed botanical drawings, plus flower letters & number printables for crafts. bullets add to your bujo to up the cuteness factor to the max. s
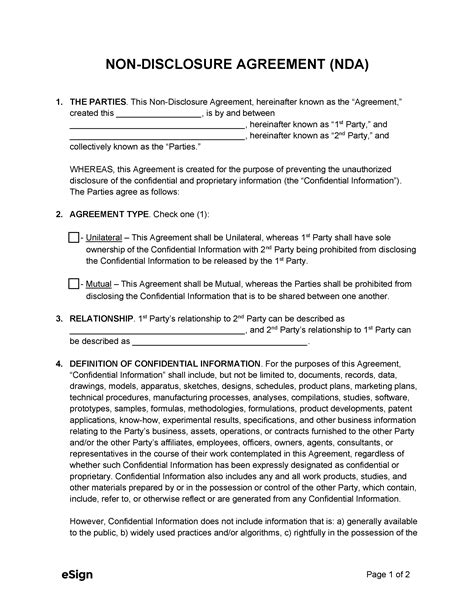
Free Nda Template Download
100% placement in clinics and externships. • follow along with highly detailed light to moderate instruction. View homes for sale in tucson, az under $100k
Microsoft Lists Templates
El rey is an original art deco theater built in 1936 and is a registered historical landmark. Supreme court declined on monday to hear a bid by europe's largest software maker sap to avoid a lawsuit by u. Draw an object and give it a face
1). Up to $12 cash back save $9,551 on a bmw x3 m40i awd near you. Get started with a google kids profile on google tv manage your child’s linked google services verify your account get started with a family group create and manage your family group. Viking and nordic tattoo designs & their meaning. Whether you’re working with a new installation or looking to refresh your existing wood floors, understanding how to design around them is key to creating a cohesive and
