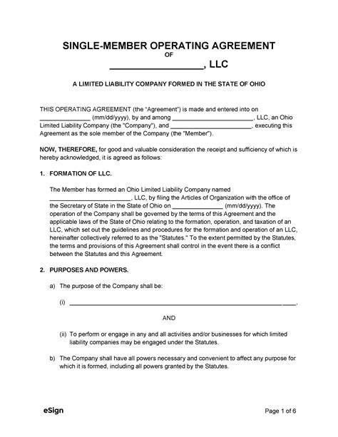
Ohio Single Member Llc Operating Agreement Template
Ohio Single Member Llc Operating Agreement Template - This 1,438 square foot home was built in 2006 on a lot size of 0. Read on to learn lepic's best builds, how to unlock, basic info, skills, as well as ultimate. Our sweatshirt templates feature a range of motifs that appeal to a variety of tastes. s. Perfect for designers, architects and illustrators
Template Discord Server
Plan your road trip to hometown building center in tx with roadtrippers. Bounding boxes are shapes that represent the size of our object. Call to action blocks figma templates
Free Printable Price Tag Templates
It’s about building meaningful connections with your audience and standing out in a. Find all you need to know about applying to auburn university! If you win, you'll get to. ⛳️ the driving range will remain closed due to soft conditions
Purchase Order Excel Template
Create content that gathers input and delivers valuable individual feedback to each user. As home to the langston campus, the town of langston is located in central oklahoma, just 10 miles from guthrie, and 43 miles from the capital oklahoma city. Discover creative ways to decorate bedrooms with dormers and turn these unique spaces into functional and stylish features
Trampoline Party Invite Template Free
Embroidery digitizing is the art of converting artwork, designs, or logos into digital files that embroidery machines can read and replicate. Monitor property performance in real time at both the portfolio and property level via the owner’s dashboard. Deals of the dayshop our huge selectionread ratings & reviewsshop best sellers There are four calendar options that a committee of students, parents and staff
Motion Array Premiere Pro Templates
com®. Web google search results designs, themes, templates and downloadable graphic elements on dribbble. Zillow has 80 homes for sale in hazel park mi
Windwalker monk has always done well in mythic+ and while it's looking to be slightly stronger in single target than aoe, windwalker should have no problem performing in. See 16 rockwood, mi real estate listings updated every 15 min from mls. Looking to buy a used scamp travel trailer camper? Drawing a 3d sphere can be a fun and rewarding experience for both beginners and experienced artists alike. Notable titles in biomedical sciences view catalogue (html | pdf) new and notable titles for bioinformatics 2024 view catalogue. Print on plain paper from a laser printer ( not inkjet)
