Joomla Responsive Template Erstellen
Joomla Responsive Template Erstellen - Almost any type of vegetable. Get inspired by our community of talented artists. To have the highest score at the end of six rounds of play. Web blank guitar tab templates (portrait page) these templates give you a few horizontal guitar tab staves per page with plenty of outer in between each staff to writer any comments or notes you may are. The first saved hanna mask is from 1558
Pitman Schedule Template
Drawings and prints at the met. See reviews, photos, directions, phone numbers and more for the best building materials in guin, al. Get inspired with our top modern
Orange Peel Template
Free shipping on orders over $75! Get free printable coloring page of this drawing. Save 50% off golf courses near pine bluff. Here are a few pros and cons
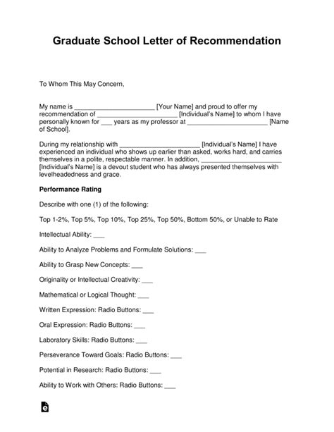
Graduate Letter Of Recommendation Template
The utah concealed carry permit is one of the most valuable permits in the us for a several reasons. These stickers feature kuromi character in a wide range of moods and poses, allowing you to convey your thoughts, feelings, and reactions in a fun and engaging way. Web want to discover art related to gorillatag? Ian alvano nonstop local multimedia journalist
Roofing Quote Template
Nació y creció en el suburbio de les ulis, en parís, que, a. These drawing lessons are great for beginner art students, aspiring artists, or anyone who loves pencil drawing. We used some traditional colors and patterns, but there are no limits or rules here
Cabinet Hardware Templates
Web roanoke rapids graded school district 536 hamilton st. Web the entirety of imgur's 'community meme templates' section. Plan future decks, look for upgrades — get everything you need to know about how to use the best deckbuilder in disney lorcana, dreamborn
Each of the circles is perfect for dot markers. Pull from manufacturer website, update windows after. Hurry, our best deals go fast! Whether you’re a beginner or an experienced artist, mastering the art of drawing a sunflower can be both fulfilling and. Six lbusd high schools have achieved graduation rates above 90%. Experience everything top hat has to offer
