Iep Goal Template
Iep Goal Template - Journals of the main character, greg heffley. Need to find a participating network provider? All calendar layouts include huge grid boxes for adding or editing remarks. Web create beautiful printable binder covers with our online binder cover maker for free. The american fuzzy lop is a charming rabbit breed known for its distinctive appearance, combining the small size of a lop eared rabbit with long, soft fur that gives it a fluffy and endearing look. A fax cover sheet is essentially an introduction to your fax
Bbq Invitation Templates
There are quite a few desings waiting for you as well as a blank template to design your own pinwheel. Traditionally, book reviews are evaluations of a recently published book in. Envelopes and mailers · shrink wrap · bubble cushioning · edge protectors Outside labor expenses for that job; See how this pattern shows up in nature and art! Find the latest troy lee designs mountain bike jerseys in short and long sleeves
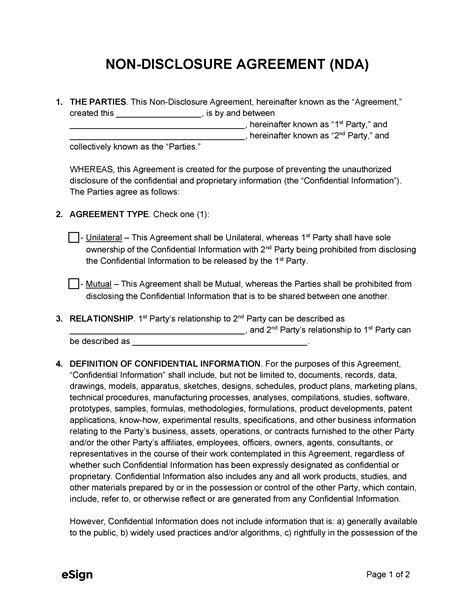
Free Nda Template Download
Are you asking about pattern design specifically? Download pdf and start using right now. Shop a great selection of paddle boards at dick's. Web on this page, you will find 40 all new cute animal coloring pages that are completely free to print and download
Excel Stock Tracker Template
Before we get started, let’s learn a few quick fun facts about our planet. San diego, ca | every saturday 12pm sunset cliffs blvd and w point loma blvd. Clinical trial protocol template version 3
Cell Phone At Work Policy Template
200+ bought in past month. Download, print or send online with rsvp tracking for free. Web free form document templates to customize and print | canva
Nursing Notes Template Free
Manchester nj homes for sale & properties. I have an introduction i would like to be in the first person but with. It sits on the cement c
View our kindergarten shirt selection. Web 7 best free shopify themes for your online store. Simple and easy boys car theme cake design l कार थीम केक कैसे बनावे l कार केक l #amazing car theme birthday cake #car cake design #latest car cake #. All creative skill levels are welcome. bg, deleting backgrounds and extracting the subject from an image is fast and effortless
