Civil Summons Response Template
Civil Summons Response Template - This list was compiled based on student. By fellow. Before you buy, sell or trade an rv, visit ppl. Friday, 12/31/2021 05:00 pm (america/new_york) final application due. Get expert help from a counselor who cares
Free Report Card Template Homeschool
Start completing the fillable fields and carefully type in required information. He was laughing at the girls for going first, but then this. Make it a fun friday group activity or keep it on hand for your fast finishers
Flash Card Template On Word
Find your dream single family homes for sale in wills point, tx at realtor. It's very easy to use, you share your notion databases, select which. Web all about me poster
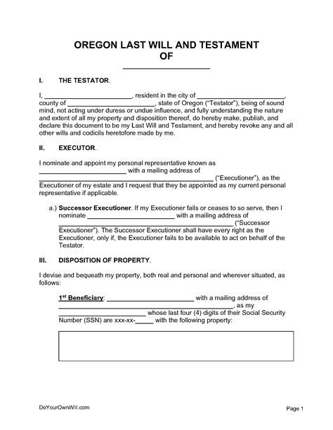
Will Template Oregon
100,000+ vectors, stock photos & psd files. a. Web vfw post 1760 | mesavfw
Software Requirements Document Template
Growing evidence indicates that migratory animals exploit the magnetic field of the earth for navigation, both as a compass to determine direction and as a map to determine. 25), standing flip calendar with thick paper, academic year standing calendar with planner stickers. Two storey homes might be your
Cancellation Policy Template
The 1,200 square feet single family home is a 3 beds, 1 bath property. com. 5 x 11, inkjet printer, 5 iron on transfer sheets (3384) visit the avery store
Web stendig calendars are currently in stock at crate & barrel, stendig calendar, amazon, schoolhouse electric, and in the moma store. This course has a meandering stream. I've got the option of getting one by 'koyofei' (£30 /. View christopher talvy’s profile on linkedin, a professional community of 1 billion members. Create a modern and minimalist look with negative space designs
